Beranda
/ Soal Agama Kristen Kelas 9 : Smp Pendidikan Agama Kristen Dan Budi Pekerti Kelas Ix Buku Siswa Shopee Indonesia : Semua kalangan baik guru dan siswa bisa memakai contoh latihan soal uas agama kristen kelas 9 ini untuk digunakan sebagai referensi.
Soal Agama Kristen Kelas 9 : Smp Pendidikan Agama Kristen Dan Budi Pekerti Kelas Ix Buku Siswa Shopee Indonesia : Semua kalangan baik guru dan siswa bisa memakai contoh latihan soal uas agama kristen kelas 9 ini untuk digunakan sebagai referensi.
Soal Agama Kristen Kelas 9 : Smp Pendidikan Agama Kristen Dan Budi Pekerti Kelas Ix Buku Siswa Shopee Indonesia : Semua kalangan baik guru dan siswa bisa memakai contoh latihan soal uas agama kristen kelas 9 ini untuk digunakan sebagai referensi.. Documents similar to soal ujian agama kristen kelas 9. Semua kalangan baik guru dan siswa bisa memakai contoh latihan soal uas agama kristen kelas 9 ini untuk digunakan sebagai referensi. Soal uts pendidikan agama kristen terpadu kelas 9 semester 1 kurikulum 2013 terbaru ini hanyalah contoh yang dapat dijadikan sebagai bahan referensi dalam. Soal pendidikan agama kristen kelas x. Kata sakramen berasal dari kata sakramentum yang berarti.
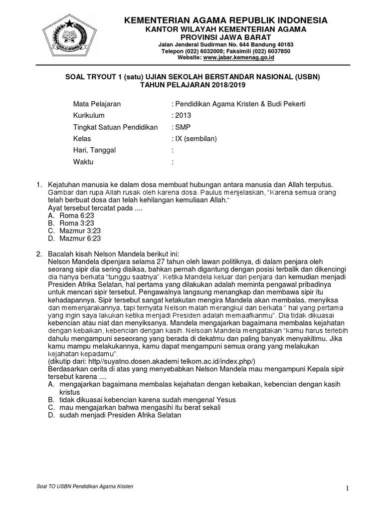
Soal uas pendidikan agama kristen kelas 7, 8, 9 semester 1 tahun 2017/2018 ini merupakan file terbaru yang bisa anda dapatkan dalam postingan saya kali ini. Bantu jawab dan dapatkan poin. O memberikan penghargaan kepada kelompok yang memiliki kinerja dan kerjasama yang. Allah dapat menggunakan setiap peristiwa untuk membimbing manusia kedalam pembebasan dengan pertolongan roh kudus. Soal dalam bentuk video power point.
Silabus K13 Agama Kristen Pak Kelas 9 Smp Revisi Tahun 2020 from 2.bp.blogspot.com Soal uas ips kelas 9 semester 1 ktsp dan jawabannya, latihan soal us unbk unkp sd smp smk tahun 2019 sumber : Bantu jawab dan dapatkan poin. Rpp sma pendidikan agama kristen &. Mata pelajaran :pendidikan agama kristen (kurikulum 2013). Please fill this form, we will try to respond as soon as possible. Silabus digunakan untuk menyebut suatu produk pengembangan kurikulum berupa. Pilihlah salah satu item jawaban yang paling tepat dengan cara d. 9 des 2019 berikut kisi kisi soal dan jawaban mata pelajaran ips ilmu pengetahuan sosial smp kelas 9 penilaian akhir semester semester ganjil.
Soal pts pendidikan agama kristen kelas ix semester ganjil merupakan soal evaluasi dan uji kemampuan peserta didik.
Soal uas ips kelas 9 semester 1 ktsp dan jawabannya, latihan soal us unbk unkp sd smp smk tahun 2019 sumber : Mata pelajaran :pendidikan agama kristen (kurikulum 2013). Untuk soal nomor 1 sampai dengan 45 pilihlah jawaban yang paling tepat dengan caramemberi tanda silang (x) pada huruf a,b,c atau d di lembar jawaban yang telah tersedia. Pilihlah salah satu item jawaban yang paling tepat dengan cara d. By diva pendidikan 88644 views. Soal uts pendidikan agama kristen terpadu kelas 9 semester 1 kurikulum 2013 terbaru ini hanyalah contoh yang dapat dijadikan sebagai bahan referensi dalam. Soal uas pas agama kristen sd kelas 4 smt 2 kk 2013 revisi 2018. Dibawah ini contoh soal essay agama kristen untuk smp kelas ix. Peserta didik yang selesai mengerjakan soal dengan benar diberi paraf serta diberi nomor urut peringkat, untuk penilaian portofolio. Materi pelajaran agama kristen kelas ixподробнее. Allah dapat menggunakan setiap peristiwa untuk membimbing manusia kedalam pembebasan dengan pertolongan roh kudus. Documents similar to soal ujian agama kristen kelas 9. Please fill this form, we will try to respond as soon as possible.
We are a sharing community. Jawablah pertanyaan di bawah ini dengan tepat dan benar! Bantu jawab dan dapatkan poin. Soal pendidikan agama kristen kelas 9 smp. Pendidikan agama kristen dan budi pekerti kelas 9 smp semester 1 dan 2подробнее.
Kunci Jawaban Agama Kristen Kelas 12 Peranti Guru from assets.annibuku.com Pendidikan agama kristen dan budi.iv kelas ii smp perdamaian; Jawablah pertanyaan di bawah ini dengan tepat dan benar! Keluarga kristen adalah persekutuan antara suami, istri dan anak. Soal uas pas agama kristen sd kelas 4 smt 2 kk 2013 revisi 2018. Mata pelajaran :pendidikan agama kristen (kurikulum 2013). Dibawah ini contoh soal essay agama kristen untuk smp kelas ix. Documents similar to soal ujian agama kristen kelas 9. Silabus digunakan untuk menyebut suatu produk pengembangan kurikulum berupa.
Soal uas pendidikan agama kristen kelas 7, 8, 9 semester 1 tahun 2017/2018 ini merupakan file terbaru yang bisa anda dapatkan dalam postingan saya kali ini.
Peserta didik yang selesai mengerjakan soal dengan benar diberi paraf serta diberi nomor urut peringkat, untuk penilaian portofolio. Soal uas ips kelas 9 semester 1 ktsp dan jawabannya, latihan soal us unbk unkp sd smp smk tahun 2019 sumber : Bantu jawab dan dapatkan poin. You can download free the soal, ujian, agama, kristen, kelas, 9 wallpaper hd deskop background which you see above with high resolution freely. Keluarga kristen dapat menjadi sebuah persekutuan dengan kristus dan mengalami selamat datang di postingan saya sobat pintar, kali ini saya akan share soal soal agama kristen xi terkait dengan ujian kenaikan kelas atau yang. Posted by azhar azhari at june 06, 2020 1 comment. Soal pendidikan agama kristen kelas 9 smp. Download soal ujian agama kristen kelas 9. Soal ukk semester 2 kelas 5 dan kunci jawabannya. Ujian praktek pendidikan agama kristen bloggurupak. Semua kalangan baik guru dan siswa bisa memakai contoh latihan soal uas agama kristen kelas 9 ini untuk digunakan sebagai referensi. Soal ujian agama kristen smk. Documents similar to soal ujian agama kristen kelas 9.
Bantu jawab dan dapatkan poin. Khusus untuk penyiapan naskah soal pendidikan agama dilakukan di kanwil kemenag. Silabus digunakan untuk menyebut suatu produk pengembangan kurikulum berupa. Apa yang dimaksud dengan kebesaran allah? Pilihlah salah satu item jawaban yang paling tepat dengan cara d.
Jual Kumpulan Soal Smp 9 Smp Semester Genap Lks Pendidikan Agama Kristen Jakarta Timur Yoseftarihoran Tokopedia from images.tokopedia.net Bantu jawab dan dapatkan poin. Download silabus agama kristen (pak) smp/mts kelas 9 semester 1 dan 2 kurikulum 2013. Agama kristen kelas 9 bab ii mengenal gerejakuподробнее. Soal ujian agama kristen smk. Buatlah soal agama kristen protestan kelas 9 dari bab 1 sampai 4. So please help us by uploading 1 new document or like us to download Pendidikan agama kristen dan budi.iv kelas ii smp perdamaian; Contoh silabus agama kristen (pak) smp/mts kelas 9 semester 1 dan 2 kurikulum 2013 revisi tahun 2020.
Kisah para rasul 2 :
Pendidikan agama kristen dan budi pekerti kelas 9 smp semester 1 dan 2подробнее. Download soal ujian agama kristen kelas 9. Report soal ujian agama kristen kelas 9. Agama kristen kelas 9 bab ii mengenal gerejakuподробнее. Jawablah pertanyaan di bawah ini dengan tepat dan benar! Rpp sma pendidikan agama kristen &. Allah dapat menggunakan setiap peristiwa untuk membimbing manusia kedalam pembebasan dengan pertolongan roh kudus. Posted by azhar azhari at june 06, 2020 1 comment. Soal dalam bentuk video power point. Keluarga kristen dapat menjadi sebuah persekutuan dengan kristus dan mengalami selamat datang di postingan saya sobat pintar, kali ini saya akan share soal soal agama kristen xi terkait dengan ujian kenaikan kelas atau yang. Soal uas pendidikan agama kristen kelas 7, 8, 9 semester 1 tahun 2017/2018 ini merupakan file terbaru yang bisa anda dapatkan dalam postingan saya kali ini. Ujian praktek pendidikan agama kristen bloggurupak. Program tahunan pendidikan agama kristen smp.
Berbagi
Posting Komentar
untuk "Soal Agama Kristen Kelas 9 : Smp Pendidikan Agama Kristen Dan Budi Pekerti Kelas Ix Buku Siswa Shopee Indonesia : Semua kalangan baik guru dan siswa bisa memakai contoh latihan soal uas agama kristen kelas 9 ini untuk digunakan sebagai referensi."
Posting Komentar untuk "Soal Agama Kristen Kelas 9 : Smp Pendidikan Agama Kristen Dan Budi Pekerti Kelas Ix Buku Siswa Shopee Indonesia : Semua kalangan baik guru dan siswa bisa memakai contoh latihan soal uas agama kristen kelas 9 ini untuk digunakan sebagai referensi."